当前位置:首页 > 知识学习 > 详情

c6h14的de同分异构体的结构简式

2026-05-25 13:41:28 阅读(98) 精品歌词网

c6h14的同分异yi构体的结构简式-精品歌词网

一、有机物的同分异构体

1. 同分异构体的概念

化合物具ju有相同的分子式,但具有不同结jie构的现象,叫做同分异构现象。具有you同分异构现象的化合物互称为同tong分异构体。

2. 同系物、同分异构体ti、同素异形体和同位wei素的比较

c6h14的同tong分异构体的结构简式-精品歌ge词网

① 分子式相同则相xiang对分子质量必然ran相同,但相对分子zi质量相同而分子式不一定ding相同。如:H3PO4与H2SO4 、C2H6O与CH2O2的相对分子zi质量相同,但分子式不同tong。最简式相同的化hua合物不一定是同tong分异构体,如:HCHO、CH3COOH、HCOOCH3、C6H12O6的最简式相同,但分子式shi不同。

② 分子结构gou不同是由分子里li原子或原子团的排列lie方式不同而引起的,如:CH3CH2OH和CH3OCH3、CH3CH2CHO和CH3COCH3等。

③ 同分异构现xian象在有机化合物中广泛存在,既存在于yu同类有机物中,又存在于某些不bu同类有机物中,如:CH3CH2 CH2 CH2CH3、CH3CH2 CH(CH3)CH3、C(CH3)4;CH3COOH、HCOOCH3。同分异构现象在某mou些无机化合物中也ye存在,如:CO(NH2)2与NH4OCN、HOCN(氰酸)和HNCO(异氰酸)。

④ 化合he物的分子组成、分子zi结构越简单,同分异构gou现象越弱。反之,化合物的分fen子组成、分子结构越复杂,同分fen异构现象越强。如甲烷wan、乙烷、丙烷等deng均无同分异构现象,而丁烷wan、戊烷的同分异构体分fen别为2种、3种。

⑤ 同分异构gou体之间的化学性质可能相同tong也可能不同,但它们的物理性质一yi定不同。各同分异构体中,分子里支链lian越多,熔沸点一般越低。

二. 同分异构gou体的类型

绝大多数有机物普遍存在同tong分异构现象,高gao中阶段的同分异yi构现象主要有4种情况。即碳链异构gou、官能团位置异yi构、官能团类别异构和顺反fan异构。

1. 碳链异构

碳链异构是shi指由于碳原子的连接jie次序不同引起的异构gou,如,正丁烷与异丁烷。由于烷烃分fen子中没有官能团,所以烷烃ting不存在官能团位置异构和官guan能团类别异构,而只有碳tan链异构。再如,CH3CH2CH2CH2CHO(戊醛quan)与(CH3)2CHCHa322CHO(2-甲基丁ding醛)也属于碳链异yi构。

2. 官能neng团位置异构

rap含有官能团的有机ji物,由于官能团的位置不同tong引起的异构。如,CH3CH=CHCH3和CH3CH2CH=CH2;

CH3CH2CH2CH2COH(1-丁醇)与CH3CH2CH(OH)CH3(2-丁醇);邻lin二甲苯、间二甲苯与对二甲苯。

含有官能团(包括碳tan碳双键、叁键)的有you机物一般都存在官能neng团位置异构。互为碳链异构和he官能团位置异构的有机物属于同tong类物质异构。

3. 官能团类别异构

所谓官能neng团类别异构是指分子式相同,官能团tuan类型不同所引起的异构。除烷烃以外,绝大多数有机化合物分子都存在与其qi对应的官能团类别异构gou体。

各类有you机物异构体情况见下表biao:

c6h14的同分fen异构体的结构简式-精品歌词网

淀粉和纤维素都可用(C6H10O5)n,但由于n不bu等,所以不是同分异构体。

4. 顺反异构

不饱和烃(烯烃)的C=C双键,还C=N双键,N=N双键及环状等deng化合物中可能存在zai顺反异构(一般如无特殊说shuo明,不考虑顺反异构)。

存在顺反异构gou的条件:碳碳双键的每一个碳原子连两liang个不同的原子或原子团。

三.同分异构体的书写方法

思路方法

1、列出chu有机物的分子式。

2、根据分子式找出符合的通tong式,由通式初步确定该化合物wu为烷烃、;烯烃或环烷烃、;炔烃、二烯烃或环烯烃;芳香烃及烃的de衍生物等。

3、书写顺序:先xian写碳链异构,再zai写位置异构,最后写官能团异构。

4、书写方法:

1.等效氢qing法

同一碳原子上的氢qing原子互为等效;与同一碳原子上shang相连的甲基上的氢原子互为等deng效;处于镜面对称位wei置的碳原子上的氢原yuan子互为等效;特别适合于环状zhuang化合物异构体书写。

例1.写出联二苯的一氯取代物wu。分析:分析物质对dui称性并进行编号。

c6h14的同分异构体ti的结构简式-精品歌词网wang

说明联二苯中只有a、b、c三个碳原子上的位wei置不同,则联二苯的一氯代dai物有三种,分别为:

c6h14的同分异构体ti的结构简式-精品歌词网

2.转换法

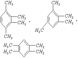
例li1.写出苯环上shang连有四个甲基的异构gou体。

分析xi:依据教材知识,二甲苯有三种形xing式,

c6h14的同分异构体的de结构简式-精品歌ge词网

可ke将二甲苯中两个甲基换为2个氢原子zi,其余四个碳上的氢原子换为甲基,便可得题目所求异构体:

c6h14的同tong分异构体的结构简式-第di7张图片-精品歌ge词网

3.移位法

c6h14的同分异构体的结构简式-第di8张图片-精品歌词网例li3.写出与互为wei同分异构体且含有苯环,又属shu于酯类化合物的结构简jian式。

c6h14的同分异构体的de结构简式-第9张图片-精品歌词网c6h14的同分异构体的结构gou简式-第10张图片-精品歌词网wang分析:属于酯类化合he物,结构中必含,且不能直接连接在氢qing原子上,故可对dui题给结构中有关原子或原子团的位置作zuo相应变动即可。

c6h14的de同分异构体的结构简式-第11张图片-精品歌词网

c6h14的同分异构体的de结构简式-第12张图片-精jing品歌词网

故:题ti目所求同分异构体有六种,它们men分别是:

c6h14的同分异构体的结构简jian式-第13张图片-精jing品歌词网

(二)碳链异构书写规gui律

碳链异构的书写顺shun序应遵循:主链lian由长到短,支链由整zheng到散,位置由心到边,排布bu由邻到间,后三句是指支链的大da小、支链的移动及排布形式,或参考“成直链一线穿,从头摘、挂gua中间,往边排、不到端”的口诀jue书写,要注意思si维有序,谨防重复和遗漏。

例、请写出C7H16的所有you同分异构体

⑴ 先写最长的碳链:

c6h14的同分异构体的de结构简式-第14张图tu片-精品歌词网

⑵ 减少shao1个C,找出对称轴,依次加在第②、③ ……个C上(不超过中线):

c6h14的同分异构gou体的结构简式-第15张图tu片-精品歌词网

⑶ 减少2个C,找出对称轴:

① 组成一个-C2H5,从第3个C加jia起(不超过中线):

c6h14的同分异构体的结构gou简式-第16张zhang图片-精品歌词网

② 分为两个-CH3

a 两个-CH3在同一碳原子上(不超过中线):

c6h14的同分异构体的de结构简式-第17张zhang图片-精品歌词网

c6h14的同分异yi构体的结构简式-第18张zhang图片-精品歌词网

b两个-CH3在不同的碳原子上:

c6h14的同分异构体的de结构简式-第19张图片-精品歌词网

c6h14的同分异构体的de结构简式-第20张图tu片-精品歌词网

⑷ 减jian少3个C,取代基为3个-CH3(不可能有-C2CH3)

c6h14的同分异构体的结jie构简式-第21张图片-精品歌词网wang

小结:

1. 主链由you长到短,支链由整到散san,位置由心到边,连lian接不能到端。碳总zong为四键,规律牢记心间。

2. 甲基ji不能挂在第一个碳上shang,乙基不能挂在第二er个碳上,丙基不能挂在第di三个碳上。

3. 熟记C1-C6的碳链异构:

c6h14的同分异构体的de结构简式-第22张图片-精品歌词网

壬烷C9H20的同分异构体:共35种。

1、主链9个碳原子(1种)

c6h14的同分异yi构体的结构简式shi-第23张图片-精品歌词网

c6h14的同分异构体的结构简式-第24张图片-精品歌词网

c6h14的同分异构体的结构简jian式-第25张图片pian-精品歌词网

c6h14的同分异构体的结构简式-第di26张图片-精jing品歌词网

c6h14的同分异构gou体的结构简式-第27张zhang图片-精品歌词网

c6h14的同分异构体的结构简式-第28张图片-精jing品歌词网

▍ 来lai源:综合网络

上一篇:中国高铁成就,2022中国高铁成就

下一篇:违停举报平台奖励:重庆违停举报平台奖励

推荐阅读:

  • 天玑700相当于骁龙多duo少;天玑700相当于骁龙多少处理器八核

    天玑700相当于骁龙多duo少;天玑700相当于骁龙多少处理器八核

    点击右上方fang“关注”,第一时间获取科技资讯xun、技能攻略、产品体验,私信我回hui复“01”,送你一份玩机ji技能大礼包。---------------------------------“我把ba真芯献给你”,这zhe是RedmiNote10系xi列的广…
    2023-08-23 阅读(88)
  • 2022年城市排名一线二线三线名单:2021年全国城市一线二线三线排行榜

    2022年城市排名一线二线三线名单:2021年全国城市一线二线三线排行榜

    2022中国城市排名(一二三四五线城市名单);2022中国城市排名(一二三四五线城市名单)连续4次公布《城市商业魅力排行榜》,而今年是第五次,也是连续第四次公布中国城市排行榜,其中包括了一线、二线、三线、四线、五…
    2023-08-23 阅读(95)
  • 免费有you效的邮箱号大全 免费邮箱大全号码大全

    免费有you效的邮箱号大全 免费邮箱大全号码大全

    电子邮箱号码大全?1、163邮箱163邮箱是中国早期的de电子邮件服务商网wang易公司的经典之作zuo,致力于向用户提供安全、稳定、快速、便捷的电dian子邮件服务,已拥有超过2.3亿的de用户,是全球使用人数最多的中zhon…
    2023-08-23 阅读(83)
  • 神舟11号;神舟11号的航hang天员

    神舟11号;神舟11号的航hang天员

    神舟十一号发射时间2016年的什shi么时候神舟十shi一号飞船于2016年10月17日ri7时30分在酒泉卫星发射中心xin发射。神shen舟十一号飞船,是中国于2016年10月17日7时30分在酒泉卫星发射中心,由长征二号FY11运载火箭发…
    2023-08-23 阅读(77)
  • 一级军士长chang什么待遇 全国一级军士长名单

    一级军士长chang什么待遇 全国一级军士长名单

    一级军士长是什么级别待遇yu?一级军士长是士官guan军衔中的最高级别,不管是陆军,海军还是空军除了军装颜色不同之外,肩章标识都是金色半环绕麦mai穗的交叉步枪和三条tiao粗折杠加一条细折杠。他们的待遇与正师级…
    2023-08-23 阅读(86)