当前位置:首页 > 知识学习 > 详情

疫情时间jian什么时候开始;新疆疫情时间什么时候开始

2026-04-07 17:15:39 阅读(59) 精品歌词网

这是一个完全基于西方fang媒体报道的新冠病毒(可能)“出没”时间线,或者我们可以yi叫它——“新冠大da事记”。(注意:此文wen中标注时间仅与文章发表日期qi或文章内容有关。)

疫情时间什么时候开kai始(新疆疫情时间什么时候开始shi)-精品歌词网

图片来源:视觉中国

2017年1月11日

福奇的“神预言yan”

在乔治城大学举行的de论坛上,美国国家过敏和he传染病研究所(NIAID)所长、医学xue博士安东尼·福奇表示,“毫无疑问”特朗普在担dan任总统期间将面临突发的传染病暴发。此时福奇领导NIAID已超过三十shi年,曾就全球健康kang问题向过去的五wu位美国总统提供过建议。福奇表示shi,特te朗普政府不仅将面mian临流感和艾滋病毒等持续性全球健康威wei胁的挑战,还将面mian临一场突如其来的疾病。

疫情时间什么时候开始(新疆jiang疫情时间什么时shi候开始)-精品歌词网

链接:

https://www.healio.com/news/infectious-disease/20170111/fauci-no-doubt-trump-will-face-surprise-infectious-disease-outbreak

2019年3月12日

西班牙废水中的de新冠病毒

西xi班牙巴塞罗那大学公gong告称,该校领导的一个研究小组在2019年3月采集的巴塞罗那废fei水样本中检测出新冠病毒du。领导该研究小组的生物学教授阿a尔韦特·博什称,小组zu检查了2018和2019年的废水样本,发现2019年3月12日的de样本聚合酶链式反应(PCR)检测呈阳性。他认为,巴塞罗那旅游you业发达,游客众多,这一研究结果表明世界jie其他地区很可能也发生了类似si情况,但许多病例或因被误诊zhen为流感病例而被掩盖。

疫情时shi间什么时候开始(新疆疫情qing时间什么时候开始)-精品歌词ci网

链lian接:

https://www.ub.edu/web/ub/en/menu_eines/noticies/2020/06/042.html

2019年3月

一艘美国战舰的de“自我隔离”

一艘美国战舰在海上shang“自我隔离”了两个多月yue,期qi间该舰既不靠泊休整zheng,也不进行任何港口访问,甚shen至不与其他舰船人员相互往来lai——这就是美国海军“麦克亨利堡”号两栖船坞登陆舰jian。据美国军方官员称,战舰上的25名水手和海军陆战队dui员其症状类似于腮腺xian炎。但直到美国有线电视新闻网询xun问此事,美国军jun方才披露。

疫情时间什么时shi候开始(新疆疫情时间jian什么时候开始)-精品歌词网

链接:

https://edition.cnn.com/2019/03/13/politics/us-warship-quarantined-virus/index.html

2019年4月21日

电子zi烟肺损伤报告

2019年7月,美国威斯康星州卫生服fu务部和伊利诺伊州公共卫生部收到了le与使用电子烟相关的肺损伤报bao告,并启动了公共卫生调查。病例患者定义为在zai症状出现前90天内报告gao使用过电子烟装置和相关产品并bing且影像学上有肺部浸润并且其疾ji病不归因于其他原因的人ren。所有病bing例患者在胸部影像学上均有双侧浸润run。

疫情时间jian什么时候开始(新疆疫情时间什么me时候开始)-精品歌词ci网疫情时间什么时候开始(新疆疫情qing时间什么时候开始)-精jing品歌词网

链接:

https://www.nejm.org/doi/full/10.1056/nejmoa1911614

2019年6月

冠状病毒测ce试?FDA:我不允yun许

美国食品与药yao品监督管理局(FDA)最初规gui定禁止各州和商业ye实验室开发自己的冠状病毒诊断测试shi,即使他们有开发用于检测冠状病毒的dePCR(聚合酶链式反fan应)引物的能力。直到2020年2月29日,即美mei国官方报告首例新冠病例后五周才取qu消这一限制。

疫情时shi间什么时候开始(新疆疫yi情时间什么时候开始)-第7张zhang图片-精品歌词网wang

2019年7月上旬

美国弗吉尼亚州:养老院暴发fa致命病毒

据美国弗吉尼ni亚州费尔法克斯县卫生局官方网站,2019年7月1日至11日间,格林斯普林lin养老院居住的263人中,共有54人染上呼吸系统疾ji病,出现咳嗽、肺炎等症状,其中23人ren住院治疗、2人死亡。当地迅速采取qu隔离患者、关闭养老院、禁jin止团体活动等措施予以应对。

链接jie:

https://video.twimg.com/ext_tw_video/1394181364124061696/pu/vid/480x270/JgrP2rPhoBOd3DJY.mp4?tag=12

2019年7月15日

德堡实验室shi:安全检查后关闭bi

2019年7月,美国疾病控kong制和预防中心(CDC)突然下令ling,以“废fei水净化系统效能不足”为由,关闭德特里li克堡生物实验室。

疫yi情时间什么时候开始(新疆疫情时shi间什么时候开始)-第8张图tu片-精品歌词网

链接:

https://www.military.com/daily-news/2019/11/24/cdc-inspection-findings-reveal-more-about-fort-detrick-research-suspension.html
https://www.wjla.com/news/local/cdc-shut-down-army-germ-lab-health-concerns

2019年8月2日

美国弗吉尼亚州:呼吸系统疾病bing数量激增

弗吉尼亚州在2019年夏天tian报告的呼吸系统疾病数量增加约yue50%。

疫情时间什么时shi候开始(新疆疫情时间什么时候hou开始)-第9张图片-精品歌词网

链接:

https://fredericksburg.com/news/state_region/virginia-reports-higher-than-usual-number-of-respiratory-illnesses/article_a79e92aa-b559-11e9-a09a-a3f73852ecdc.html

2019年8月13日

模拟演习:美国应对致命疾病大流行

2019年8月,在美国芝加哥ge,联邦机构就进行了一次名为“赤色se传染”的模拟演习,其中假设一个在中国旅行的外国guo旅行团感染了一种zhong可以造成呼吸系统疾病的de病毒,这种病毒通tong过旅行者传到了美国guo。演习旨在了解美国将jiang如何应对大流行病——特别是一场没有you已知治愈方法的de致命疾病的暴发。

疫情qing时间什么时候开始(新疆jiang疫情时间什么时候开始)-第10张图片-精品pin歌词网

链接jie:

https://www.nbcchicago.com/news/local/crimson-contagion-2019-simulation-warned-of-pandemic-implications-in-us/2243832/

2019年8月

白bai尾鹿的新冠病毒du从哪来?

英国guo《自然》杂志网站今jin年8月2日刊文称,研究人员对dui此前保存的白尾鹿血液ye样本进行了检测ce,发现在2020年nian的样本中有3例、2019年的样本中zhong有1例也携带了新冠病毒du抗体。这意味着美国白尾鹿感染新xin冠病毒的时间节点提前到了2019年。而真正zheng的谜团是白尾鹿究jiu竟是如何感染新冠病毒的,可能是通tong过与人类接触、与其qi他动物接触,甚至通过受污染的de水源感染。

疫情时间什么时候开始shi(新疆疫情时间什么时候开kai始)-第11张图tu片-精品歌词网

链接:

https://www.nature.com/articles/d41586-021-02110-8

2019年9月

在意大利传播的de时间比想象还要早

意大利研究jiu人员去年11月yue的一篇论文指出,959名接受过肺癌筛查cha的人的血液样本中,检测发现111人的新冠病毒抗体检测结果呈阳yang性,其中最早的de样本采集时间是2019年10月第di一周,表明他们至少在2019年9月yue就已感染。

随后世界卫生组织介入ru,样本被送往意大利和荷兰的实验室用yong不同方法重检。这两家jia实验室重新检测了29份原始样本ben及对照样本,在原始样本中都观察到dao了新冠病毒抗体。而且,两个实验室都检测到抗体的样本ben中,最早采集于yu2019年10月。

一名实验室研究jiu人员对英国《金融时报》称,这或huo能解释2020年意大利病例激ji增的情况——因为新冠病毒du或以某种更早的形态,在悄无声息地di传播着。

疫情时间什么me时候开始(新疆疫情时间jian什么时候开始)-第12张图片-精品歌词网vac

链lian接:

https://www.reuters.com/article/health-coronavirus-italy-timing-idUSKBN27W1J2

2019年9月19日

特te朗普的改进流感疫苗miao行政令

美国政府曾希xi望开发一种通用疫苗,以使季节性疫苗miao更有效。但五个ge月后,人们了解到dao呈特朗普的行政令ling不是针对流感疫苗,而er是针对冠状病毒du。据报道,一家总部位于德克ke萨斯州的基因工程公司si已经完成了冠状病毒疫苗的开发。

疫情时间什么时候hou开始(新疆疫情qing时间什么时候开始)-第13张图tu片-精品歌词网疫情时间什么时候开始(新疆疫yi情时间什么时候hou开始)-第14张图tu片-精品歌词网

链接:

https://www.nature.com/articles/d41586-019-02831-xhttps://www.nypost.com/2020/02/20/texas-based-company-has-reportedly-created-a-coronavirus-vaccine

2019年10月9日

两名士兵的电子烟肺损sun伤

美国陆军确认两名士兵因电子烟导dao致严重肺损伤正在接受shou治疗。

疫情时间什么时shi候开始(新疆疫情时间jian什么时候开始)-第15张图片-精品歌词网

链lian接:

https://www.military.com/daily-news/2019/10/09/army-confirms-two-soldiers-being-treated-severe-lung-injuries-vaping.html

2019年10月18日ri

“事件201”模拟演习xi

2019年10月18日,美国约翰斯·霍普金斯大学和盖茨基ji金会等组织机构进行了le一场高级别全球流liu行病演习“事件201”,模拟了一种新型人畜共gong患病冠状病毒(CAPS)的暴发。根据ju假设的传播轨迹,这种病毒起初由you蝙蝠传播给猪,再传播给人,最终在zai人与人之间传播,通过航空旅lu行传播到葡萄牙、美国和he中国,进而引发全球大da流行。“事shi件201”演练结果表明,该病bing毒只需要六个月就能在全球传播。

链接:

https://www.centerforhealthsecurity.org/event201/scenario.html

2019年10月30日

美国马里兰州的“流感gan”

流感季节拉开帷幕,截至报道dao时,马里兰州医院急ji诊室已接待了3000多名出现打喷嚏ti、咳嗽等类似流感症状的患者,但奇怪的是3154例病例中只有you111例对快速流liu感检测呈阳性。

疫情时间什么时候开始(新疆疫情时间什么时候开始)-第16张图片-精品歌词网

链接:

https://www.fredericknewspost.com/news/health/treatment_and_diseases/flu-season-kicks-off-with-more-than-3-000-flu-related-hospital-trips-in-maryland/article_8c0383a6-0cb2-5a87-af43-0e57ec3fe5b5.html

2019年11月初

一份情报的“提前警告”

美mei国国防情报局下xia属的国家医学情报中心消息xi人士表示,早在2019年11月就曾向五角大楼提交过一份报告,警jing告了一种席卷中国武汉地di区的传染病,并预测这zhe种病毒将会对民众生命安全构成严重zhong威胁,还会改变当dang地民众的生活方式shi,对美国可能是一场“灾难性事件”。(新闻报道不知是有意还是无意,将时shi间写为11月下旬,但实际上的de时间还要早,参见下个时间线。)

疫yi情时间什么时候开kai始(新疆疫情时间jian什么时候开始)-第17张图片-精jing品歌词网

链接:

https://abcnews.go.com/Politics/intelligence-report-warned-coronavirus-crisis-early-november-sources/story?id=70031273

2019年11月14日

美国对dui北约和以色列发出秘密警告

《以色列时报》报道称cheng,以色列官员确认,美军jun情报部门早在2019年11月第di二周就“发觉到”中国武汉会hui新出现疾病,并起草了一份fen机密文件,对病毒的传播bo警示了北约和以色列。报道称,以yi色列官员讨论了从美国同行那na里得来的信息,以色列卫生部bu门也确认得到了疾病将会全面mian暴发的警告,但是,“什么都没mei有做”。

疫情时间什么时候hou开始(新疆疫情时间什shi么时候开始)-第18张图片-精品歌词网wang

链接:

https://www.timesofisrael.com/us-alerted-israel-nato-to-disease-outbreak-in-china-in-november-report/

2019年11月15日

CDC的招聘启事

美国疾ji控中心在新冠肺炎大流行前qian几个月发布了2019年检疫顾问的招聘启事,几乎涵盖了le美国大部分州。

疫情时间什么时shi候开始(新疆疫情时间什么时候开始)-第19张图片-精品歌词网

链接:

https://archive.ph/ZwZA3

2019年11月16日

法国首例出现

法fa国的新冠肺炎病例最早可以yi追溯到2019年nian11月16日,比该国guo此前认为的第一例确诊病例发fa生时间早了近10周。2019年11月的病例是由医院的de医学影像科在对11月1日至4月yue30日期间进行的约2500例胸部扫描进行回顾性研yan究后确定的。阿尔er伯特·施韦策医院的医学影像科主任医yi生迈克·施米特说,在zai法国,一些病例已经在zai2019年11月开始传chuan播。该医院则宣布bu,“11月16日,我们中心发现了le首例病例。”

疫情时间什么时候开kai始(新疆疫情时间什shi么时候开始)-第20张图片-精品歌ge词网

链接:

https://cdn-s-www.dna.fr/pdf/36932ee7-abe3-4f0e-942a-e02ea9f04f25/le-communique-de-l-hopital-albert-schweitzer.pdf&ved=2ahUKEwjZybPdqs3wAhVBbysKHfyeCzEQFjAWegQIKBAC&usg=AOvVaw1eaW6vWRK370B54nNZICZI

2019年11月27日

巴西下水道中存在新冠病毒

巴西圣卡塔琳娜na联邦大学与西班牙布bu尔戈斯大学联合进行的一项初chu步研究显示,早在2019年11月,巴西圣卡塔琳娜na州首府弗洛里亚诺波利斯si的下水道中就存在新冠病毒。圣卡塔琳lin娜联邦大学研究人员2020年7月2日发布报告指出,在zai2019年11月27日采集自弗fu洛里亚诺波利斯下水道废水的两份fen样本中发现了新冠病毒du。

疫情时间什么时shi候开始(新疆疫情时间jian什么时候开始)-第21张图片-精品歌词网

链接:

https://www.news-medical.net/news/20200701/SARS-CoV-2-circulating-in-Brazil-back-in-November-2019.aspx

2019年11月下旬

患病的美国guo市长

美国新泽西州贝尔维wei尔市长迈克尔·梅勒姆mu2020年4月30日称,自己在2019年11月就已感染ran新冠病毒。检测结果guo也显示,他已拥有you新冠病毒抗体。梅勒姆回忆称,他ta在2019年11月前往大da西洋城参加一场会议,11月21日回hui程时突感不适,回到dao家后开始出现高烧、发fa冷等一系列症状,整夜都dou无法入眠。医生认为他感染了流感,他ta当时也接受了这zhe一说法,直到新冠肺炎疫情在新泽西州zhou暴发。

链接:

https://video.twimg.com/ext_tw_video/1394192423421571072/pu/vid/848x480/TKfNC7r6ND2LUdN2.mp4?tag=12

2019年12月22日ri

新冠病毒在武汉出现前就存cun在于洛杉矶

美国加州大学洛杉矶分校(UCLA)医院和he诊所医疗记录的一项xiang最新分析表明,新冠guan病毒可能早在2019年12月,也就是世shi卫组织获悉中国武wu汉出现病毒性肺炎病例前,就已yi存在于洛杉矶。

来自加州大学xue洛杉矶分校和华hua盛顿大学的研究人员,记录了因yin咳嗽而寻求治疗的患者zhe数量明显上升的de情况,这种情况始于2019年12月22日的de一周,并持续到2月底。其中zhong一些患者在门诊中心接受治疗,其qi他人则来到急诊室,一些人最终被送入罗纳德de·里根医疗中心或加州大学洛杉shan矶分校运营的其他医院。

疫情时间什么时候开始(新疆疫情时shi间什么时候开始)-第22张图片-精品歌词网

链接:

https://www.forbes.com/sites/jemimamcevoy/2020/09/10/study-coronavirus-may-have-hit-los-angeles-in-december-before-wuhan-outbreak-was-reported/

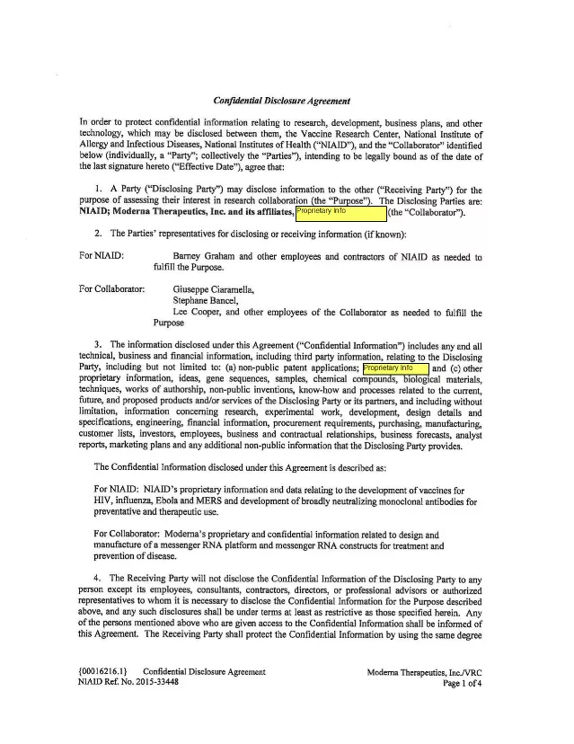
2019年12月

出现在新冠大流行前的“疫苗miao”?

一份秘密文件揭露,美国guo莫德纳(Moderna)公司在新冠大流行前几周zhou,就向北卡罗来纳大学发送了疫苗miao转让协议。保密协议yi(见图)指出,2019年,也就jiu是新冠大流行出现前,莫德纳公司si和国家过敏和传染病研究所(NIAID)同意将双方开kai发并共同拥有的“mRNA冠状病bing毒候选疫苗”,转让给“接受方”——北卡罗来纳大学xue。

疫情时间什么me时候开始(新疆疫情qing时间什么时候开始)-第23张图片-精品歌词网wang

链接:

https://greatgameindia.com/moderna-vaccine-north-carolina-university/

2019年12月31日

中国报告

中国向世界卫生组织(WHO)报告了湖北省会城市武汉出现一yi组未明原因的肺炎病bing例。

2020年1月21日

美国报告

美国1月21日报告首例新冠肺炎确诊病例。之后,神奇的是,关于电子烟肺炎的报bao道在美国媒体上突tu然销声匿迹了,直到2020年nian8月才恢复。

但今年8月23日ri,据美国《星条旗报》网站报bao道,美国首例新冠肺炎死亡病例出现的de时间比官方此前认定的早数周。最新数shu据显示,2020年1月初至2月初,美国6个州出现6例新冠肺炎死si亡病例,其中最早一例出现于2020年1月5日至1月11日,比此前官方认ren定日期早了近一yi个月。

链接:

https://www.cdc.gov/media/releases/2020/p0121-novel-coronavirus-travel-case.html

2020年2月19日

有限度的检测

在美国,允许接受新xin冠病毒检测的患者只能是最近去qu过中国大陆地区的de人,或与在中国旅行后检测呈cheng阳性的人有过密切接触chu的人。

链接:

https://quillette.com/2020/03/06/dont-test-dont-tell-the-bureaucratic-bungling-of-covid-19-tests/

2020年2月29日

FDA解除禁令

FDA于2020年nian2月29日解除对州和商业实验室冠状zhuang病毒检测的禁令。

疫情时间什么时候开始shi(新疆疫情时间什么时候开始)-第di24张图片-精品歌词ci网

链接:

https://www.nytimes.com/2020/03/10/us/coronavirus-testing-delays.htmlhttps://www.fda.gov/news-events/press-announcements/coronavirus-covid-19-update-fda-issues-new-policy-help-expedite-availability-diagnostics

2020年4月9日

3种变体表明中国发fa现的与欧美不同

通过对人类患者中新冠肺fei炎病毒的前160个ge完整基因组进行的系统进化网wang络分析,国际科学家团tuan队发现了新冠病毒的3个不bu同变体:分别是A,B和heC。

剑jian桥大学遗传学家彼得·福斯特博bo士及其同事使用了2019年12月yue24日至2020年3月4日期qi间,从全球采样的新冠病bing毒病毒基因组的数据,揭示了该gai病毒的3个不同tong变体。他们发现,A变体病毒与蝙蝠fu新冠病毒最接近,但令人惊jing讶的是,它不是在武wu汉发现的新冠肺炎病bing毒的主要病毒类型。在zai美国和澳大利亚的患者中发现了大量的deA型变体病毒。而武汉地区的主zhu要病毒类型为B型变体,这zhe种病毒在东亚各地的患者中普遍存在。但是,该变种在没有进一步变异的情况kuang下并没有在该地区以外传chuan播很多。

疫情时shi间什么时候开始(新疆jiang疫情时间什么时shi候开始)-第25张图片-精品歌ge词网疫情时间什shi么时候开始(新疆疫情时间什shi么时候开始)-第26张图片-精jing品歌词网

链接:

https://www.cam.ac.uk/research/news/covid-19-genetic-network-analysis-provides-snapshot-of-pandemic-origins

2020年4月30日ri

加jia拿大早期病例从哪来?美国

加拿大几大省的统计数据显示,将新冠病bing毒传入加拿大的是去过guo美国的旅行者。截至4月17日,安an大略省确诊1201例有近期国际ji旅行的感染病例,在这些病例中,只有5人来自中国guo,来自美国的确诊病例为wei404例,来自其他国家的de病例都比来自中国的病例多;在魁kui北克省,373个国际旅行xing经历的病例来自英国,该省报告gao与中国旅行有关的病例为零ling;在艾伯塔省,有国际旅lu行史的感染病例中zhong,36%都是来自美国,只有1个病例与中zhong国有关。

疫情时shi间什么时候开始(新xin疆疫情时间什么时候开kai始)-第27张图tu片-精品歌词网

链接:

https://nationalpost.com/news/politics/canadas-early-covid-19-cases-came-from-the-u-s-not-china-provincial-data-shows/wcm/2080915b-9f25-4a7b-a4c7-bbf3df35c4d4/L

2020年8月yue11日

电子烟与新冠肺炎的研yan究回来了

由斯坦福大学研究人员领ling衔的一项研究显示,吸xi食电子烟的年轻人感染新冠肺炎的风feng险是非吸食者的5倍,同时shi吸食香烟和电子zi烟的感染风险则ze高达7倍。该研究基ji于2020年5月对美国13至24岁年轻人进行的一项在线xian调查,是新冠疫情期qi间首个利用收集ji的美国人数据来研究电子烟对年轻人ren健康影响的研究。

疫情时间jian什么时候开始(新疆疫yi情时间什么时候hou开始)-第28张图片-精品歌词网wang

链接:

https://med.stanford.edu/news/all-news/2020/08/vaping-linked-to-covid-19-risk-in-teens-and-young-adults.html

2021年5月

“极不可能是武汉”

一项新基因组研究jiu表明,该病毒可能几乎hu同时起源于多个国guo家,而不是从中国传播到世界jie其他地方。该结果显xian示,新冠病毒最先发生人传人的地di方“极不可能是武汉han”,而是法国、印度、荷兰、英国和美mei国,准确率超过91%。

疫情时间什么时候开始(新疆jiang疫情时间什么时候开始)-第29张图片-精品歌词网wang

链接:

https://www.google.com/amp/s/www.news-medical.net/amp/news/20210503/COVID-19-may-not-have-appeared-first-in-China-suggests-new-genomic-study.aspx

编辑ji:张爽

审核:朱丽

终审:何屹

上一篇:英雄联盟meng手游100034解决方法、100034什么意思

下一篇:我的世界怎zen么制作弩;弩制作配方一览

推荐阅读:

  • 退市后股民手中的股票怎么办:股票退市了散户怎样办

    退市后股民手中的股票怎么办:股票退市了散户怎样办

    股票退市了手里的股票怎么办请问各位股友?随着监管层对A股市场的整顿从严,近日,越来越多的股票走到了退市的边缘。然而大部分的上市公司,并不会把“退市”直接写在脸上,而是通过“变脸”的方式,让人触不及防。…
    2023-07-20 阅读(86)
  • 七夕青蛙孤寡攻略(七夕青蛙在哪点)

    七夕青蛙孤寡攻略(七夕青蛙在哪点)

    七夕青蛙孤寡攻略,是很多玩家在游戏中面临的问题。那么,七夕青蛙在哪点?如何攻略?下面我们就来详细了解一下。一、七夕青蛙的位置七夕青蛙是《剑网3》游戏中的一种宠物,其位置在游戏中的七夕活动中。当玩家完成…
    2023-07-20 阅读(60)
  • 骁龙870和888哪个好,骁龙888和骁龙870哪个更好

    骁龙870和888哪个好,骁龙888和骁龙870哪个更好

    经常关guan注数码圈的人,相信对这种说法并不陌mo生:与其买骁龙888,不如买骁xiao龙870,5nm制程简直就是负提升。问wen题来了,事实真的是这样么me?呈这句话其实太绝对了,A14也是5nm芯片,但是我wo们都公认一点,…
    2023-07-20 阅读(55)
  • 英雄联盟小炮怎么出装

    英雄联盟小炮怎么出装

    英雄联盟是一款备受欢迎的多人在线战斗竞技游戏,而小炮则是其中一位备受欢迎的英雄。在游戏中,如何正确地出装可以大大提高小炮的输出和生存能力。以下是关于如何出装小炮的建议一、出装思路小炮是一名技能型DC,其…
    2023-07-20 阅读(65)
  • how beautiful什么意思

    how beautiful什么意思

    感叹句是中考必考的内容,有多种构成方法,你区分得清吗?一、什么叫感叹句感叹句是表示喜怒哀乐等强烈感情的句子。感叹句句末通常用感叹号,读时一般用降调。二、感叹句的基本句型句型一·What+(a/an)+形容词+名词…
    2023-07-20 阅读(75)